2022.05.17 금일은 블러링 ( 가우시안 필터 ) 관한 강의였다.

전일 강의에서 나왔던 평균값 필터 ( Mean Filter ) 의 경우
필터링 대상 위치에서 가까이 있는 픽셀과 멀리 있는 픽셀이 모두 같은 가중치를 사용하여 평균을 계산하기 때문에
멀리 있는 픽셀의 영향을 많이 받을 수 있다는 단점이 있다.
전일 Mask의 값을 보면 5x5의 Mask 에서 가장 바깥쪽에 있는 픽셀값과 중심부근의 픽셀값 모두 같은 가중치로
1/25 의 필터링을 진행한 것을 보면 알 수 있다.

하지만 가우시안 필터는 중심 픽셀과 가까운 픽셀은 큰 가중치를 주고 , 멀리 있는 픽셀은 작은 가중치를 주어
평균을 계산하기 때문에 조금 더 자연스러운 값을 받을 수 있다.


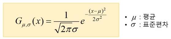
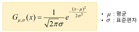
( 1차원 ) 가우시안 함수란? ( Gaussian Function )
- 정규분포라고도 말하는데 자연계에서 발생하는 대부분의 데이터가 정규분포를 따른다고 알려져 있다.
어떤 데이터가 가지고있는 값의 분포를 가장 잘 표현하는 방식이라고 볼 수 있다.

가우시안 함수는 2개의 파라메타 ( 변수 ) 에 의해 모양이 변형되는데

위와같은 식에서 평균과 표준편차에 의해 모양이 변형된다.
앞으로 필터를 디자인 할 때는 평균을 0으로 생각하고 디자인하기 때문에
표준편차에 대해서만 잘 보면 된다.
표준편차라는 것은 데이터값들이 평균을 기준으로 해서
가까이 뭉쳐있는지 혹은 멀리 퍼져있는지에 대한 정도를 나타내는 값이다.
이런 가우시안 필터의 특징들을 몇가지 살펴보자
- Symmetric ( bell curve ) : 평균을 기준으로해서 좌우가 대칭이다.
( 평균 = 커브의 중앙값 = 커브의 피크값 )
- 68 : 95 : 99.7 법칙
평균을 중심으로 ±1시그마 ( 표준편차 ) 에는 전체데이터의 68%가 존재하고
±2시그마 ( 표준편차 ) 에는 전체데이터의 95%가 존재하고
±3시그마 ( 표준편차 ) 에는 전체데이터의 99.7%가 존재한다.
- 가우시안 필터 면적은 항상 1이 된다.
본 포스팅은 패스트캠퍼스 환급 챌린지 참여를 위해 작성되었습니다.
패스트캠퍼스 [직장인 실무교육]
프로그래밍, 영상편집, UX/UI, 마케팅, 데이터 분석, 엑셀강의, The RED, 국비지원, 기업교육, 서비스 제공.
fastcampus.co.kr
'Program > OPEN_CV' 카테고리의 다른 글
| [Open CV] 필터링 _ 샤프닝 _ 언샤프 마스크 필터 (0) | 2022.05.19 |
|---|---|
| [Open CV] 필터링 _ 잡음제거 _ 미디언 필터 (0) | 2022.05.18 |
| [Open CV] 필터링 _ 블러링 _ 평균값 필터 (0) | 2022.05.16 |
| [Open CV] 필터링 _ 필터링 이해하기 (0) | 2022.05.15 |
| [Open CV] 기본적인 영상처리 기법 _ 실전코딩 ( 크로마키 합성 ) (0) | 2022.05.14 |